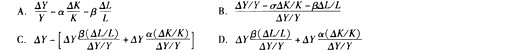
[单选题]

技术进步对产出的绝对值影响为( )。

参考答案与解析: