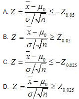
已知总体方差,显著性水平α=0.05,检验的假设为:H0:μ≤μ0,H1:μ>μ0,则检验的拒绝域应为()。

A . A
B . B
C . C
D . D
[单选题]已知总体方差,显著性水平a=0.05,检验的假设为:H0:μ≤μ0,H1:μ>μ0,则检验的拒绝域应为( )。A.B.C.D.
[单选题]已知总体方差,显著性水平α=0.05,检验的假设为:H0:μ≤μ0,H1:μ>μ0,则检验的拒绝域应为( )。A.B.C.D.
[单选题]已知总体方差,显著性水平α=0.05,检验的假设为:H0:μ≤μ0,H1:μ>μ0,则检验的拒绝域应为( )。[2007年中级真题]A.B.C.D.
[单选题]已知总体方差,显著性水平α=0.05,检验的假设为:H0:μ≤μ0,H1:μ>μ0,则检验的拒绝域应为( )。[2007年中级真题]A.B.C.D.
[单选题]设X~N(μ,σ2),其中σ2已知,H0:μ=μ0,H1:μ≠μ0的显著性水平为α的拒绝域为( )。A.|u|>uαB.|u|>u1-αC.|u|>-uα/2D.|u|>u1-α/2E.|u|>1-uα/2
[多选题]设X~N(μ,σ2),其中σ2已知,H0:μ=μ0,H1:μ≠μ0的显著性水平为α的拒绝域为( )。A.|u|>uαB.|u|>u1-αC.|u|>
[单选题]从方差未知的正态总体中随机抽取容量为n的一个小样本,在显著性水平为α的条件下,检验的假设为H0:μ=μ0,H1:μ≠μ0,则拒绝域为( )。A.t<
[单选题]已知总体方差,显著性水平 ,检验的假设为: ︰ , ︰ ,则检验的拒绝域应为( )。
[判断题] A某一总体均值进行假设检验,检验结论是:在1%的显著性水平下,应拒绝H0。据此可认为对原假设进行检验的P值小于1%。()A . 正确B . 错误
[单选题]设X~N(μ,σ2),σ未知,xi为样本(i=1,2,…,n)。H0:μ≤μ0,H1:μ>μ0,α为显著性水平,则接受域( )。A.B.C.D.