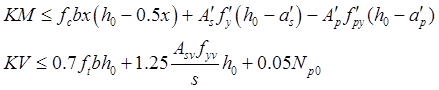
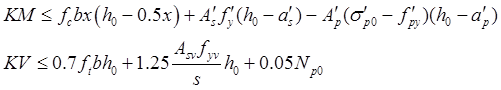
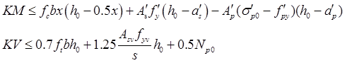
[单选题]

预应力梁正截面、斜截面承载力计算公式(  )。

A.

B.

C.

D.

参考答案与解析: