[单选题]

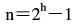
对于一个满二叉树,共有n个结点和m个叶子结点,深度为h,则()。

A.n=h+m

B.h+m=2n

C.m=h-1

D.

参考答案与解析: