[单选题]

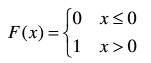
设随机变量X~B(l,0.8)分布,则X的分布函数为()。

A.

B.

C.

D.

参考答案与解析: