[单选题]

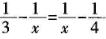
某旅游部门规划一条从甲景点到乙景点的旅游线路,经测试,旅游船从甲到乙顺水匀速行驶需3小时;从乙返回甲逆水匀速行驶需4小时。假设水流速度恒定,甲乙之间的距离为y公里,旅游船在静水中匀速行驶y公里需要x小时,则x满足的方程为( )

A.

B.

C.

D.

参考答案与解析: